流体力学的三个基本方程
流体力学的三个基本方程

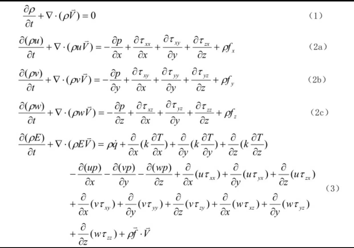
流体力学的三大方程分别指:
1、连续性方程——依据质量守恒定律推导得出。(式1)
2、能量方程(又称伯努利方程)——依据能量守恒定律推导得出。(式2)
3、动量方程——依据动量守恒定律(牛顿第二定律)推导得出的。(式3)

除了以上三个基本方程,还需要结合流体的本构方程:
牛顿流体

非牛顿流体

例如,通过动量方程和本构方程结合,可以获得流体运动与作用于流体力的纳维-斯托克斯方程。纳维-斯托克斯方程是非线性微分方程,其中包含流体的运动速度,压强,密度,粘度,温度等变量,而这些都是空间位置和时间的函数。如不考虑粘度则是欧拉方程。一般来说,对于流体运动学问题,需要同时将纳维-斯托克斯方程结合质量守恒、能量守恒、热力学方程、介质的材料性质和边界条件以及初始状态参数一同求解。
标签:
